以下机构已正式获得授权,可在 Titan FX 品牌及商标下运营: Titan FX Limited(注册号 40313) 受瓦努阿图金融服务委员会(VFSC)监管。注册地址:1st Floor Govant Building, 1276 Kumul Highway, Port Vila, Republic of Vanuatu。 Goliath Trading Limited(牌照号 SD138) 受塞舌尔金融服务管理局(FSA)监管。注册地址:IMAD Complex, Office 12, 3rd Floor, Ile Du Port, Mahe, Seychelles。 Titan Markets(牌照号 GB20026097) 受毛里求斯金融服务委员会(FSC)监管。注册地址:c/o Credentia International Management Ltd, The Cyberati Lounge, Ground Floor, The Catalyst, Silicon Avenue, 40 Cybercity, 72201 Ebene, Republic of Mauritius。 Atlantic Markets Limited(注册号 2080481) 受英属维尔京群岛金融服务委员会(FSC)监管。注册地址:Trinity Chambers, PO Box 4301, Road Town, Tortola, British Virgin Islands。 Titan FX 总部地址:Pot 564/100, Rue De Paris, Pot 5641, Centre Ville, Port Vila, Vanuatu。 Titan FX 研究中心仅以提供信息与教育内容为目的,不提供投资、法律、金融、税务或任何类型的个性化建议。本网站所载的意见、预测及其他信息,并不构成买卖金融产品的推荐或招揽。 杠杆产品(如差价合约 CFD)风险极高,并不适合所有投资者。在做出任何交易决定前,用户应进行独立研究,或咨询合格的专业人士。尽管我们努力提供准确的信息,但不保证内容的完整性或适用性。用户需自行承担依赖本内容的风险,Titan FX 对任何损失或损害概不负责。 本信息仅面向 Titan FX 交易获准的司法管辖区居民。

多重时间框架的抛物线SAR是除了要显示的时间周期外,还能够显示更长时间周期抛物线SAR的指标。
显示长时间周期的抛物线,有助于迅速发现趋势大幅度反转的可能性,有效率地进行分析。
确认长期移动平均线的水平并进行分析,能早期发现会成为支撑线、阻力线的水平及趋势的大幅度变化。
【在1小时图表上显示4小时抛物线SAR的范例】

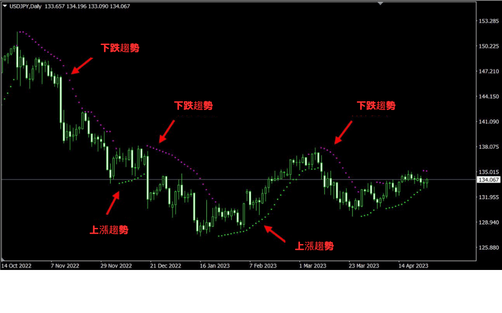
抛物线SAR是在图表上,呈现抛物线状表示趋势反转基准点SAR的指标。
SAR在趋势上涨时出现在价格下方,趋势下跌时出现在价格上方。
当价格到达基准点,将视为趋势反转,调换SAR的位置。
SAR会在趋势反转时,从趋势反转前的高价、低价开始移动逐渐靠近价格。
除了可依SAR位置知道趋势发展方向外,也会显示趋势反转基准的水平,是探求停损水平及反转进场时间点的重要指标。
但若价格发展方向持续不明确,须注意是否会出现多个假讯号。
【抛物线SAR显示趋势发展】

※本指标仅适用于TitanFX的Windows版MT5、MT4。
只有同意以下所有条款的使用者才能使用本网站(https://research.titanfx.com) 提供的指标。
| 变数名称 | 内容 | 预设 |
|---|---|---|
| 时间周期 | 指定要显示哪个时间周期的抛物线SAR。 要显示图表时间周期的抛物线SAR时选择current。 | current |
| AF值 | 指定用于计算抛物线SAR的AF值。 | 0.02 |
| EP值 | 指定用于计算抛物线SAR的EP值。 | 0.2 |
| 适用价格 | 指定要用于计算的价格。 | Close price |
| MT5变数名称 | MT4变数名称 | 内容 |
|---|---|---|
| 0 | 0 | 趋势上涨时的抛物线颜色、粗细度 |
| 0 | 0 | 趋势下跌时的抛物线颜色、粗细度 |